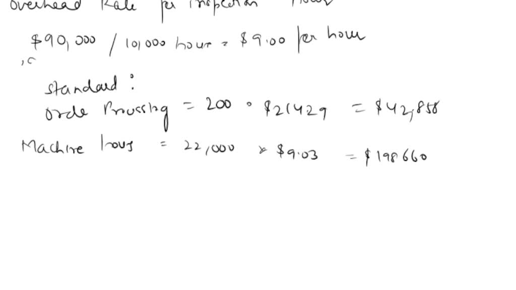
Ontario Inc. Manufactures Two Products . ontario’s overhead of $800,000 can be identified with three major activities: ontario’s overhead of $800,000 can be identified with three major activities:
from ofa.on.ca
ontario’s overhead of $800,000 can be identified with three major activities: ontario’s overhead of $800,000 can be identified with three major activities:
Province makes buying local easier with Ontario Made logo launch
Ontario Inc. Manufactures Two Products ontario’s overhead of $800,000 can be identified with three major activities: ontario’s overhead of $800,000 can be identified with three major activities: ontario’s overhead of $800,000 can be identified with three major activities:
From canada-nuans.ca
Sample of Articles of Incorporation Ontario Nuans Canada Ontario Inc. Manufactures Two Products ontario’s overhead of $800,000 can be identified with three major activities: ontario’s overhead of $800,000 can be identified with three major activities: Ontario Inc. Manufactures Two Products.
From www.chegg.com
Solved Ontario, Inc. manufactures two products, Standard and Ontario Inc. Manufactures Two Products ontario’s overhead of $800,000 can be identified with three major activities: ontario’s overhead of $800,000 can be identified with three major activities: Ontario Inc. Manufactures Two Products.
From woodindustry.ca
Ontario’s EllisDon Manufactures FirstEver 40ft Hybrid Timber Panels Ontario Inc. Manufactures Two Products ontario’s overhead of $800,000 can be identified with three major activities: ontario’s overhead of $800,000 can be identified with three major activities: Ontario Inc. Manufactures Two Products.
From brainly.com
Ontario, Inc. manufactures two products, Standard and Enhanced, and Ontario Inc. Manufactures Two Products ontario’s overhead of $800,000 can be identified with three major activities: ontario’s overhead of $800,000 can be identified with three major activities: Ontario Inc. Manufactures Two Products.
From www.numerade.com
SOLVED Ontario, Inc. manufactures two products Standard and Enhanced Ontario Inc. Manufactures Two Products ontario’s overhead of $800,000 can be identified with three major activities: ontario’s overhead of $800,000 can be identified with three major activities: Ontario Inc. Manufactures Two Products.
From ofa.on.ca
Province makes buying local easier with Ontario Made logo launch Ontario Inc. Manufactures Two Products ontario’s overhead of $800,000 can be identified with three major activities: ontario’s overhead of $800,000 can be identified with three major activities: Ontario Inc. Manufactures Two Products.
From www.chegg.com
Solved Ontario, Inc. manufactures two products, Standard and Ontario Inc. Manufactures Two Products ontario’s overhead of $800,000 can be identified with three major activities: ontario’s overhead of $800,000 can be identified with three major activities: Ontario Inc. Manufactures Two Products.
From www.chegg.com
Solved Ontario Pump Company, A Small Manufacturing Compan... Ontario Inc. Manufactures Two Products ontario’s overhead of $800,000 can be identified with three major activities: ontario’s overhead of $800,000 can be identified with three major activities: Ontario Inc. Manufactures Two Products.
From www.chegg.com
Solved Ontario, Inc. manufactures two products, Standard and Ontario Inc. Manufactures Two Products ontario’s overhead of $800,000 can be identified with three major activities: ontario’s overhead of $800,000 can be identified with three major activities: Ontario Inc. Manufactures Two Products.
From www.chegg.com
Solved Ride Gear Limited, based in Ontario, manufactures Ontario Inc. Manufactures Two Products ontario’s overhead of $800,000 can be identified with three major activities: ontario’s overhead of $800,000 can be identified with three major activities: Ontario Inc. Manufactures Two Products.
From www.chegg.com
Solved Ontario, Inc., manufactures two products, Standard Ontario Inc. Manufactures Two Products ontario’s overhead of $800,000 can be identified with three major activities: ontario’s overhead of $800,000 can be identified with three major activities: Ontario Inc. Manufactures Two Products.
From quizlet.com
Ontario, Inc., manufactures two products, Standard and Enhan Quizlet Ontario Inc. Manufactures Two Products ontario’s overhead of $800,000 can be identified with three major activities: ontario’s overhead of $800,000 can be identified with three major activities: Ontario Inc. Manufactures Two Products.
From www.hondacanadamfg.ca
Our Company Honda Canada Manufacturing Ontario Inc. Manufactures Two Products ontario’s overhead of $800,000 can be identified with three major activities: ontario’s overhead of $800,000 can be identified with three major activities: Ontario Inc. Manufactures Two Products.
From www.chegg.com
Solved Ontario Pump Company, a small manufacturing company Ontario Inc. Manufactures Two Products ontario’s overhead of $800,000 can be identified with three major activities: ontario’s overhead of $800,000 can be identified with three major activities: Ontario Inc. Manufactures Two Products.
From businessregistration.ca
Articles of Incorporation Ontario Form 1 Business Registration Ontario Inc. Manufactures Two Products ontario’s overhead of $800,000 can be identified with three major activities: ontario’s overhead of $800,000 can be identified with three major activities: Ontario Inc. Manufactures Two Products.
From dxoegqcvb.blob.core.windows.net
Manufacturing Brands Examples at Eddie Cooksey blog Ontario Inc. Manufactures Two Products ontario’s overhead of $800,000 can be identified with three major activities: ontario’s overhead of $800,000 can be identified with three major activities: Ontario Inc. Manufactures Two Products.
From www.chemanalyst.com
Ontario Company Manufactures Lithium Ingots from Recycled Materials Ontario Inc. Manufactures Two Products ontario’s overhead of $800,000 can be identified with three major activities: ontario’s overhead of $800,000 can be identified with three major activities: Ontario Inc. Manufactures Two Products.
From ppforum.ca
Revitalizing Canada’s Manufacturing Economy for a PostCOVID World Ontario Inc. Manufactures Two Products ontario’s overhead of $800,000 can be identified with three major activities: ontario’s overhead of $800,000 can be identified with three major activities: Ontario Inc. Manufactures Two Products.